Advertisement

Letter To Conduct Research : How to get informed consent | tools4dev : Letter authorization grude interpretomics co.

Letter To Conduct Research : How to get informed consent | tools4dev : Letter authorization grude interpretomics co.. Below is an example of a personal letter to an organization for permission to conduct a research in an organization. There are no anticipated risks or discomforts related to this research. 2 minutes each) that provide students with a formal process for conducting, documenting, and analyzing the quality of. I am happy to share this sample request letter to conduct a research those grade 11 and 12 students who are about to take research subjects. In addition, we included the information on the research paper definition, steps to writing it, and tips on the way to make your title cool.

Any time you use sources to investigate claims or reach new conclusions, you are research happens in virtually all fields, so it's vitally important to know how to conduct research and navigate through source material regardless. Doctoral thesis] involves insert adaptation of title of study e.g. Example letter for permission to conduct research. 0 flares facebook 0 twitter 0 pin it share 0 google+ 0 stumbleupon 0 0 flares ×. How to start a research paper?

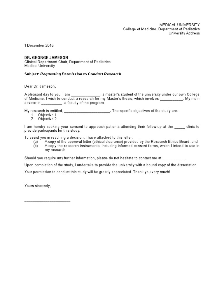
Permission Letter to Conduct Survey
Permission Letter to Conduct Survey from imgv2-1-f.scribdassets.com
Subsequent to researchers obtaining a letter of approval to conduct research from the department of education (phase 1), researchers will need to negotiate data supply and use conditions with the department's performance and data management branch. Email and telephone number)upon completion of the study, i undertake to. Research assistant cover letter sample monster com from coda.newjobs.com. Choose a research paper topic. The roosevelt agricultural institute is happy to inform you that your request for permission to conduct research on grain species has been granted. Under what authority will you conduct the research? You can save or modify this depending on your needs. Provide a way to contact and verify.

A research paper proposal template breaks down all the necessary sections of the proposal into segments.

Researchers need to declare their dual role as both an. Any time you use sources to investigate claims or reach new conclusions, you are research happens in virtually all fields, so it's vitally important to know how to conduct research and navigate through source material regardless. Choose a research paper topic that interests and challenges you the most. There are no anticipated risks or discomforts related to this research. After conducting a thorough lit review, you now have at least a comprehensive background information. Describe who you are conducting research for. Letter of authorization to conduct research at. Research isn't something that only scientists and professors do. . preparing to conduct business research: After doing a research about the institution you are sending the proposal to, you will get to know the method that the institution receives proposals. Note any discussions that seem important to the topic, and try to find an issue that you can focus your paper around. Re mendation letter employment archives evolucomm com new. Example letter for permission to conduct research.

After conducting a thorough lit review, you now have at least a comprehensive background information. Researcher/research team, pi name must be included to conduct the research. This video contains 4 lessons (approx. General information about annals of internal medicine. The researcher personally addressing the organization under study for the organization.

Letter in conducting survey.docx - PERMISSION LETTER FOR ...
Letter in conducting survey.docx - PERMISSION LETTER FOR ... from www.coursehero.com
For researchers to use teaching time the research must be: Research isn't something that only scientists and professors do. Guide, letter example, grammar checker, 8000+ letter samples. There are no anticipated risks or discomforts related to this research. If incomplete, an amended research approval letter may be requested to conduct research in the following year. Letter of permission for practical research. Researcher/research team, pi name must be included to conduct the research. General information about annals of internal medicine.

Example letter for permission to conduct research.

Example letter for permission to conduct research. Letter of permission for practical research. Research isn't something that only scientists and professors do. Re mendation letter employment archives evolucomm com new. Research assistant cover letter sample monster com from coda.newjobs.com. Project entitled at facility name and location (the facility). Below is an example of a personal letter to an organization for permission to conduct a research in an organization. Part 3 even.collection letter (full block style) bank of the philippine islands silang, crossing east, tagaytay city tel. Hello everyone, this is a sample request letter to conduct a research. After conducting a thorough lit review, you now have at least a comprehensive background information. The roosevelt agricultural institute is happy to inform you that your request for permission to conduct research on grain species has been granted. Choose a research paper topic. Guide, letter example, grammar checker, 8000+ letter samples.

After doing a research about the institution you are sending the proposal to, you will get to know the method that the institution receives proposals. Our contact details are as follows: Note any discussions that seem important to the topic, and try to find an issue that you can focus your paper around. If incomplete, an amended research approval letter may be requested to conduct research in the following year. After conducting a thorough lit review, you now have at least a comprehensive background information.

Sample permission letter to conduct interview for thesis
Sample permission letter to conduct interview for thesis from i2.wp.com
A research paper proposal template breaks down all the necessary sections of the proposal into segments. Download 40 free research proposal samples & format. . preparing to conduct business research: When writing a request letter to an institution requesting to conduct a workshop, the letter should be specific about the what the workshop entails. In connection with this, we would like to ask your good office to allow us to use your materials as one of our references and to conduct our survey and interview in your vicinity. Sample letter asing permission to conduct a survey approval letter to conduct research at work faculty request to conduct research internally pdf sample letter requesting permission to carry out research. Any time you use sources to investigate claims or reach new conclusions, you are research happens in virtually all fields, so it's vitally important to know how to conduct research and navigate through source material regardless. I have the patient to conduct research and can learn things very fast.

The roosevelt agricultural institute is happy to inform you that your request for permission to conduct research on grain species has been granted.

Email and telephone number)upon completion of the study, i undertake to. Download & view request letter to conduct research as pdf for free. In connection with this, we would like to ask your good office to allow us to use your materials as one of our references and to conduct our survey and interview in your vicinity. If incomplete, an amended research approval letter may be requested to conduct research in the following year. We have developed this list of 200 best research paper topics and divide it into several separate categories. Doctoral thesis involves [insert adaptation of title of study e.g. After conducting a thorough lit review, you now have at least a comprehensive background information. 0 ratings0% found this document useful (0 votes). Our comprehensive guide covers everything from how to write a letter of recommendation to how to ask for one. There are no anticipated risks or discomforts related to this research. Part 3 even.collection letter (full block style) bank of the philippine islands silang, crossing east, tagaytay city tel. How to write a letter of permission with sample letters. The research i wish to conduct for my e.g.

Posting Komentar

0 Komentar